2022年秋季肇庆市第三幼儿园招生简章
肇庆市第三幼儿园定于6月11日(星期六)对拟录取幼儿进行现场资格审核,
一、现场资格审核地点及时间
【审核地点】
端州区人民南路33号
【审核时间】
城中园区2022年6月11日(周六上午)8:30—11:00
立德园区2022年6月11日(周六下午)14:30—17:30
二、资格审核材料清单
1.户口簿原件及复印件(复印户口本首页及孩子姓名页复印在一张A4纸上)。
2.父母双方身份证原件及复印件。
3.出生证原件及复印件.
4.《儿童园(所)健康检查表》原件和儿童保健手册。(幼儿需到肇庆市端州区妇幼保健院或肇庆第二人民医院进行体检)
5.儿童预防接种情况审核报告原件及复印件。
三、现场资料审核流程指引

四、附件
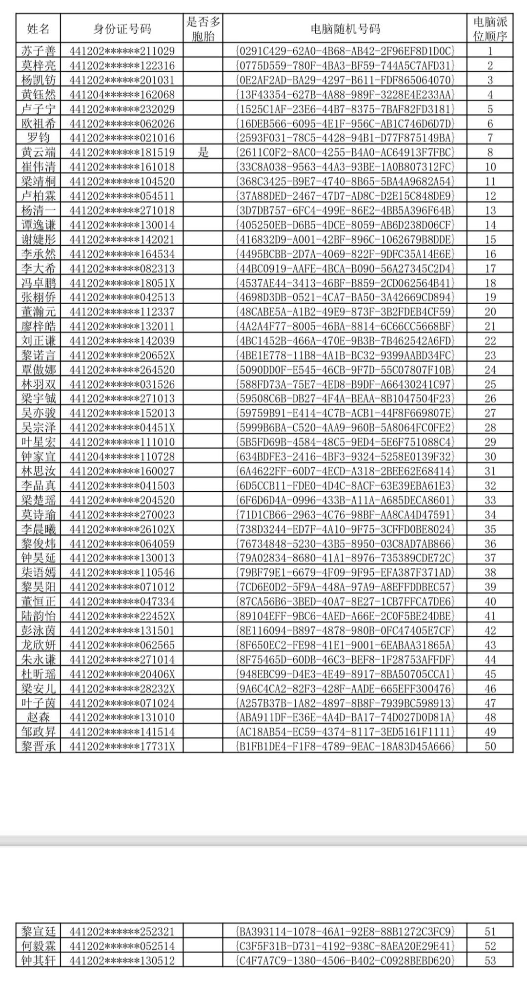
1.肇庆市第三幼儿园城中园区拟录取名单
(点击可放大图片)
2.肇庆市第三幼儿园立德园区拟录取名单
3.肇庆市第三幼儿园城中园区、立德园区幼儿报名小程序
4.肇庆市第三幼儿园分批次入园审核资料顺序
城中园区现场审核资料顺序
(2022年6月11日上午)
8:30—9:00抽签号1-15号验证
9:00—9:30抽签号16-30号验证
9:30—10:00抽签号31-45号验证
10:00—10:15抽签号46-53号验证
立德园区现场审核资料顺序
(2022年6月11日下午)
14:30—15:00抽签号1-15号验证
15:00—15:30抽签号16-30号验证
15:30—16:00抽签号31-45号验证
16:00—16:30抽签号46-53号验证
16:30—17:00抽签号54-70号验证
五、温 馨 提 示
1.因新冠肺炎疫情防控期间,需家长配合我园疫情防控工作,请家长及幼儿佩戴口罩,以一米以上的距离排队等候入园,减少聚集。入园时请扫场所二维码出示粤康码、行程卡并测温。
2.因幼儿资格审核不符、提供虚假资料的一律取消录取资格;在规定时间内未前往幼儿园进行资格审核和注册的,视为自动放弃。
3.注册时需交幼儿生活用品费用,并登陆“粤省事”小程序教育服务在线缴费。
4.当天需一位家长带幼儿前往幼儿园报名。
5.幼儿园不提供车位,为免乱停乱放,请尽量乘坐公共交通工具前往。
6.我园是无烟校园,园内禁止吸烟。
7.有关报名事宜请关注肇庆市第三幼儿园微信公众号。
8.如有疑问,工作时间可拨打
0758-2229660 、0758-2831363咨询。







