2022年秋季肇庆市第三幼儿园拟录取资格审核时间
肇庆市第三幼儿园定于6月11日(星期六)对拟录取幼儿进行现场资格审核,
现场资格审核地点及时间如下
【审核地点】
端州区人民南路33号
【审核时间】
城中园区2022年6月11日(周六上午)8:30—11:00
立德园区2022年6月11日(周六下午)14:30—17:30
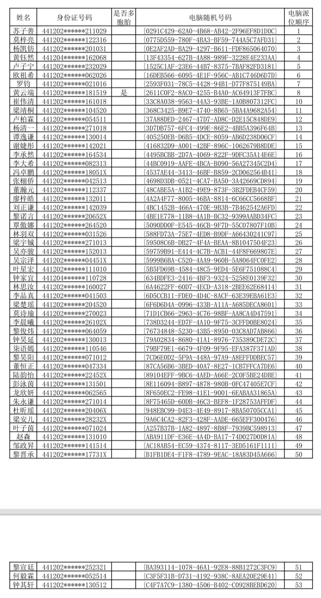
肇庆市第三幼儿园城中园区拟录取名单
肇庆市第三幼儿园立德园区拟录取名单
教育百科2022-09-12 23:53:01未知
2022年秋季肇庆市第三幼儿园拟录取资格审核时间
肇庆市第三幼儿园定于6月11日(星期六)对拟录取幼儿进行现场资格审核,
现场资格审核地点及时间如下
【审核地点】
端州区人民南路33号
【审核时间】
城中园区2022年6月11日(周六上午)8:30—11:00
立德园区2022年6月11日(周六下午)14:30—17:30
肇庆市第三幼儿园城中园区拟录取名单
肇庆市第三幼儿园立德园区拟录取名单