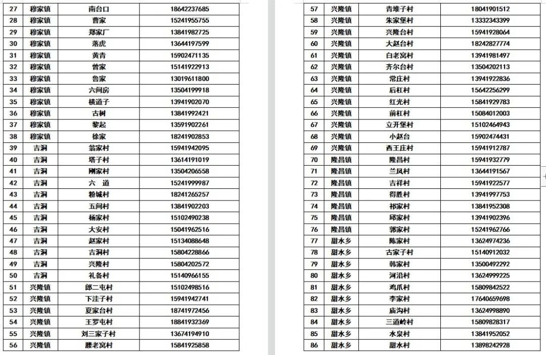
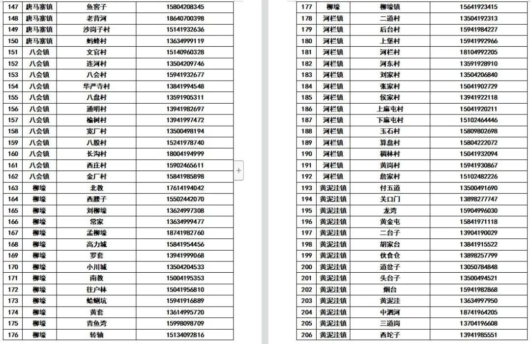
1. 境外来(返)辽阳人员实行“14+14”隔离管控措施。即在第一入境点集中隔离医学观察14天,来(返)辽阳前3日向目的地社区(村)报备,来(返)辽阳后,继续进行14天集中隔离医学观察,解除隔离后开展健康监测28天,非必要不外出,避免参加聚餐聚会及去往人群聚集场所。在健康监测第三天和第七天分别做一次核酸检测。
2. 国内疫情重点管控地区来(返)辽阳人员提前3日向目的地社区(村)报备,一律实施14天集中隔离医学观察。同时对前14日来(返)辽人员开展排查,进行14天严格居家健康监测,在健康监测起始日和结束日分别进行1次核酸检测,非必要不外出。
3. 国内疫情重点关注地区来(返)辽阳人员提前3日向目的地社区(村)报备,进行14天严格居家健康监测(或入住我市重点关注地区来(返)人员指定宾馆:宏伟区嘉仪宾馆2620777),在健康监测起始日和结束日分别进行1次核酸检测,非必要不外出。





















