蜀山南七街道疫情防控报备电话:
洪岗社区65562063 ; 65565298 ; 65981286
丁岗社区65576325 ; 65576397 ; 65981286
丁香社区65375337 ; 65572071 ; 65981286
新华社区65536670; 65120893 ; 65981286
科企社区65129550 ; 65167389 ; 65981286
地方特产2022-05-17 23:06:59佚名
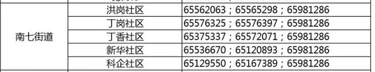
蜀山南七街道疫情防控报备电话:
洪岗社区65562063 ; 65565298 ; 65981286
丁岗社区65576325 ; 65576397 ; 65981286
丁香社区65375337 ; 65572071 ; 65981286
新华社区65536670; 65120893 ; 65981286
科企社区65129550 ; 65167389 ; 65981286
南京六合区哪里可以打加强针新冠疫苗