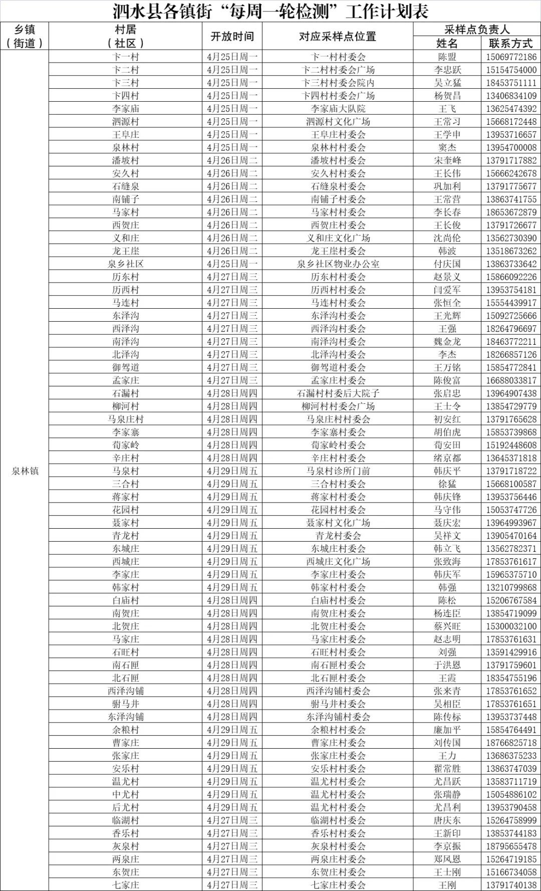
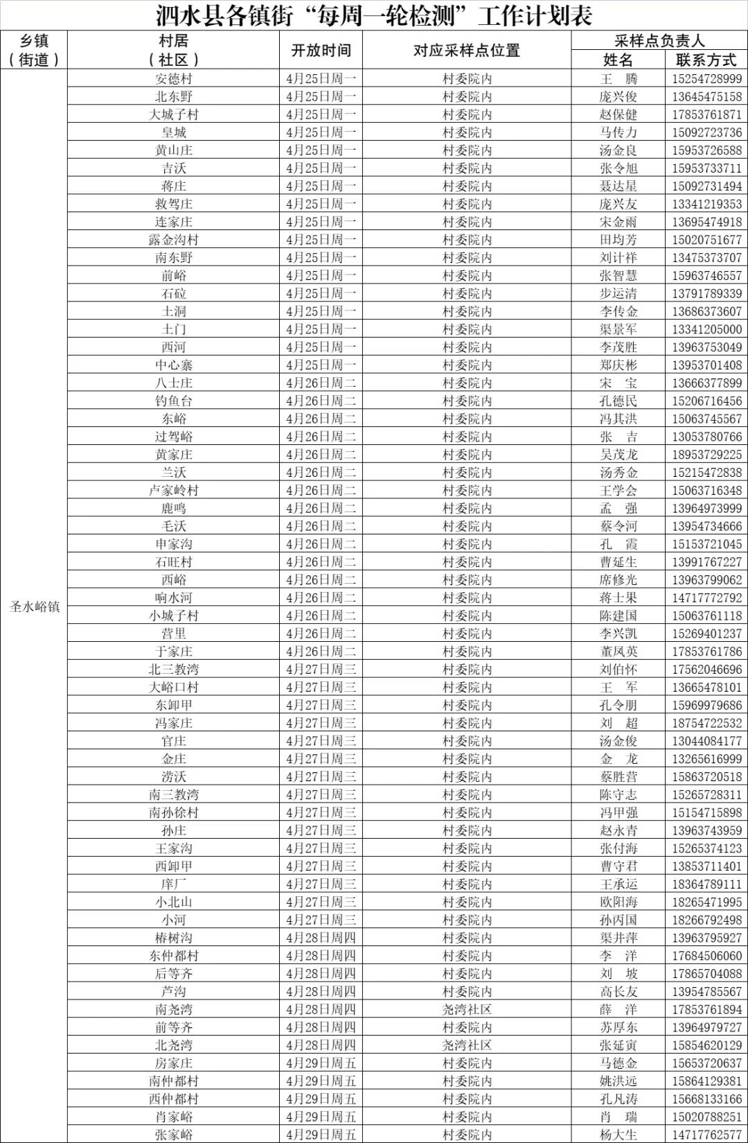
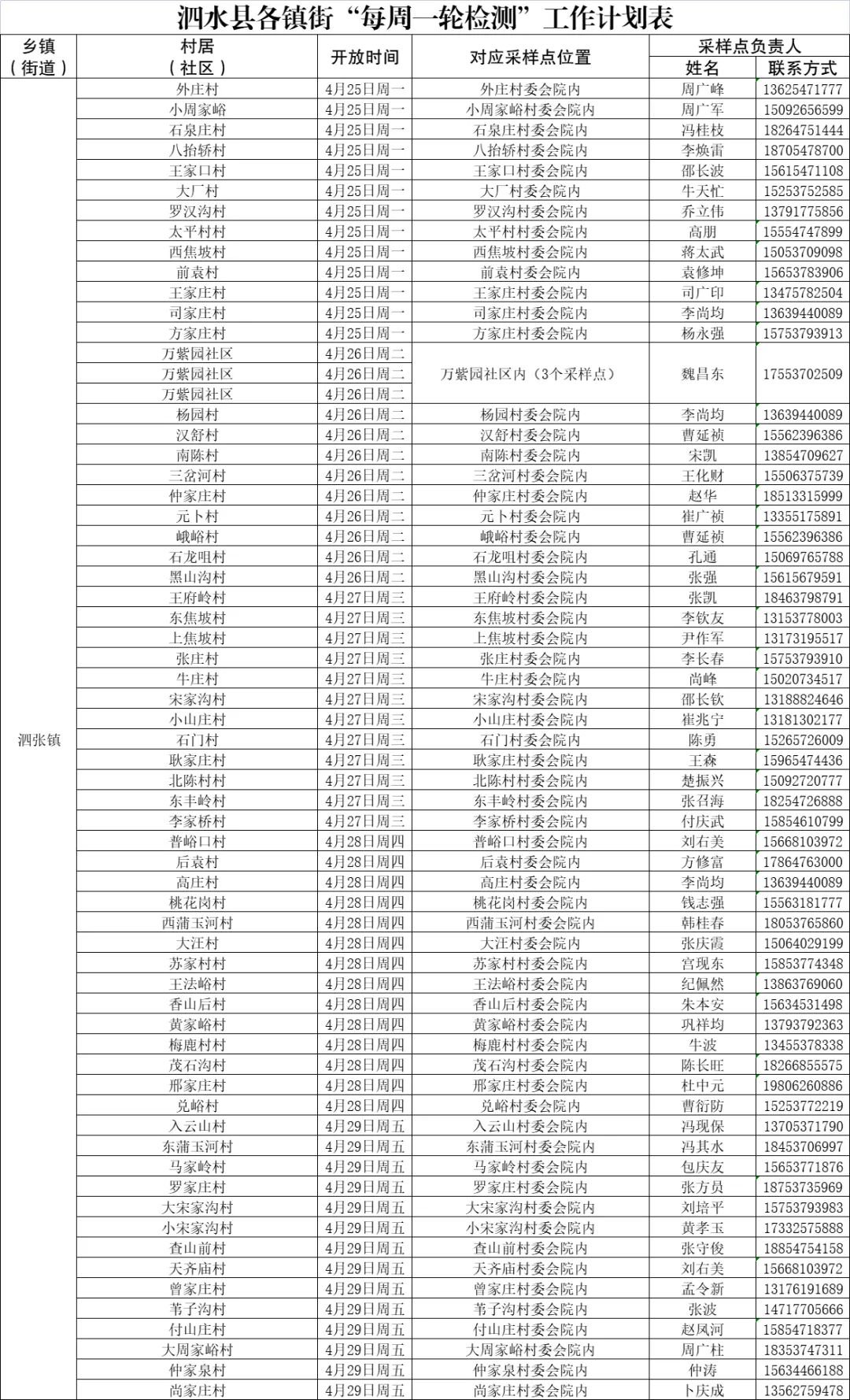
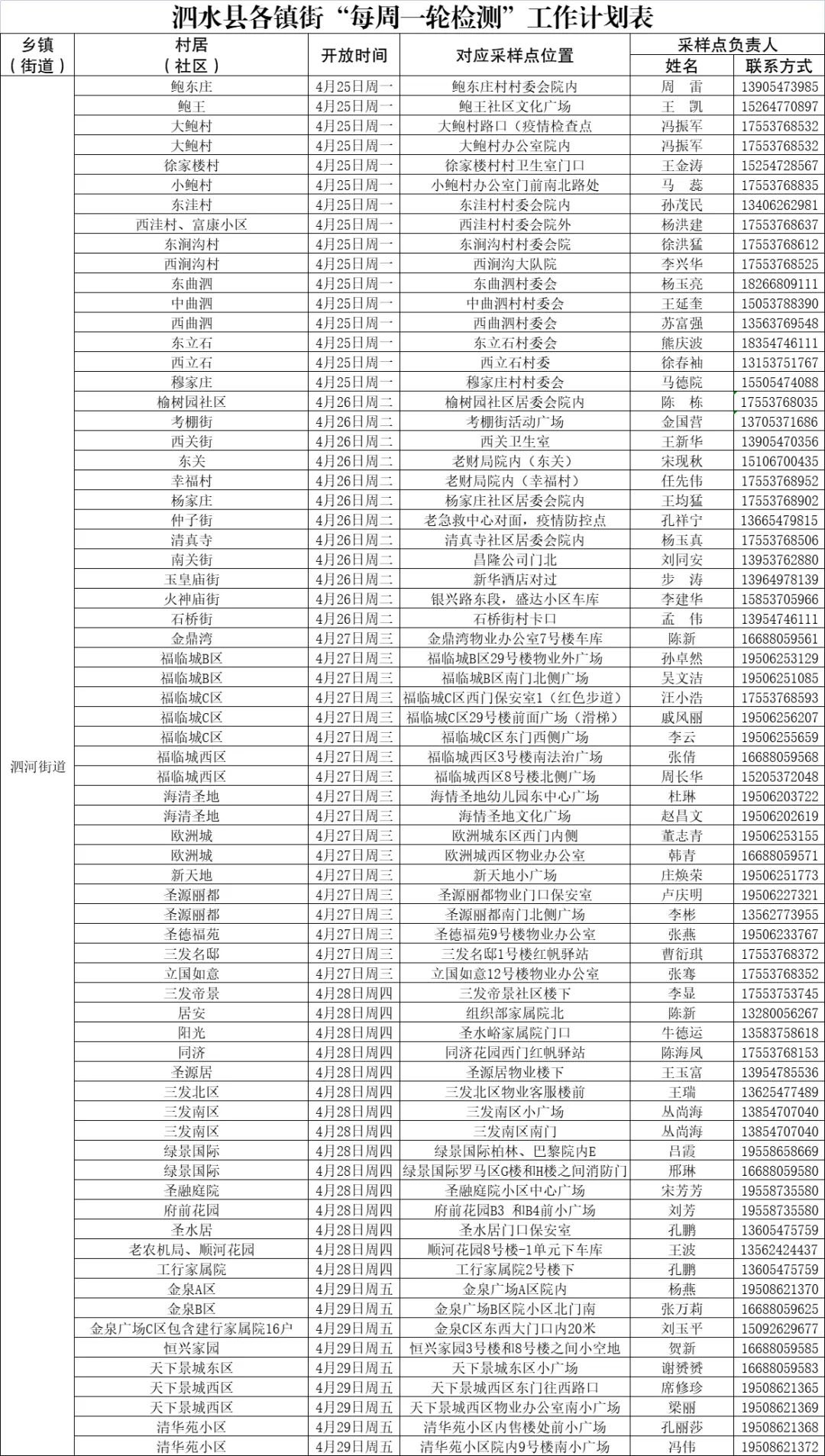
泗水各街镇“每周一轮检测”工作计划表(4月25日-4月29日)
为适应常态化区域核酸检测工作,泗水县除目前常设、固定开放的“愿检尽检”核酸采样点照常开放外,其他采样点轮流定期开放。广大居民朋友们可根据各采样点开放时间就近进行核酸采样。现将4月25日—5月1日开放时间告知如下:
请广大群众积极配合,赴现场检测时请带上有效身份证件供核验,提前通过微信扫描“健康济宁公众号 ”,点击“核酸检测登记”,生成“采样信息二维码”后截图,提前保存个人及家人采样信息二维码在手机上,到采样点后现场出示二维码进行信息读取,并按工作人员指示和标识指引有序完成核酸采样。老人、小孩可由家人代为登记。





