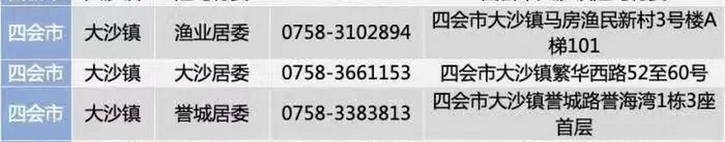
肇庆市四会市大沙镇村委会防疫咨询报备电话一览
做好健康监测
一旦出现发热、干咳、乏力、嗅觉味觉减退、鼻塞、流涕、咽痛、结膜炎、肌痛腹泻等不适症状时,应立即报告所在居委(村委)、所在单位或所住酒店,及时就近至发热门诊就诊,并主动告知医生自己的旅居史,就诊过程中请做好个人防护并不得乘坐公共交通工具。
做好个人防护
来(返)肇途中,请您全程规范佩戴口罩,注意个人卫生,保持社交距离,避免用未清洁的手触摸眼、口、鼻,避免到人群聚集、空间密闭、通风较差场所活动。
地方特产2022-09-11 07:57:10未知
肇庆市四会市大沙镇村委会防疫咨询报备电话一览
做好健康监测
一旦出现发热、干咳、乏力、嗅觉味觉减退、鼻塞、流涕、咽痛、结膜炎、肌痛腹泻等不适症状时,应立即报告所在居委(村委)、所在单位或所住酒店,及时就近至发热门诊就诊,并主动告知医生自己的旅居史,就诊过程中请做好个人防护并不得乘坐公共交通工具。
做好个人防护
来(返)肇途中,请您全程规范佩戴口罩,注意个人卫生,保持社交距离,避免用未清洁的手触摸眼、口、鼻,避免到人群聚集、空间密闭、通风较差场所活动。
肇庆四会市贞山街道社区防疫咨询报备电话
肇庆市四会市黄田镇村委会防疫咨询电话一览