2021南海狮山龙光玖誉湾园共有产权房销售价格一览
龙光玖誉湾园共有产权项目已完成申购程序,2021年9月27日上午9时整开始摇号,摇号地点为佛山市南海区桂城街道三山环岛西路9号龙光玖里江湾营销中心【点击查看:摇号及选房公告】。
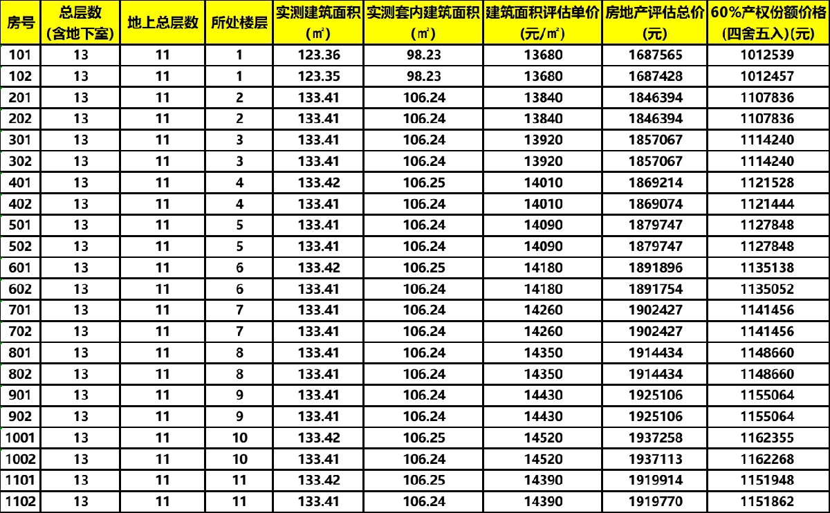
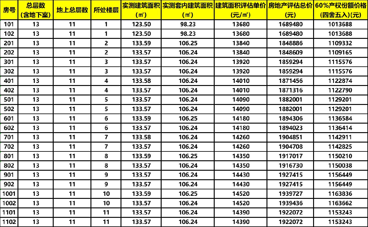
申购结束后,佛山市南海区住房城乡建设和水利局已经委托评估机构对共有产权房进行价格评估,具体价格如下:
位置:广东省佛山市南海区狮山镇科行路1号
用途:住宅
一、龙光玖誉湾园21栋:
二、龙光玖誉湾园22栋:
三、龙光玖誉湾园23栋:
四、龙光玖誉湾园24栋:
五、龙光玖誉湾园25栋:
六、龙光玖誉湾园26栋:
七、龙光玖誉湾园40栋:
备注:
1、本次公示的价格均为带标准交楼装修的评估价格。
2、40栋的评估按预测绘面积计算,最终面积以实测为准。





