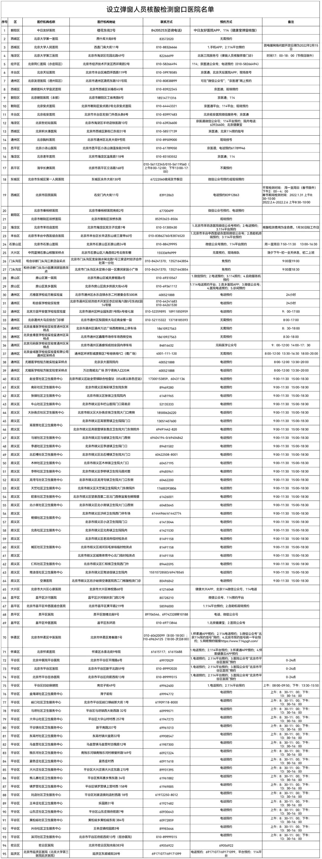
➤北京设立95个健康宝弹窗人员核酸检测窗口
为更好满足健康宝弹窗人员核酸检测需求,卫生健康部门快速行动、科学布点、合理安排,本市多家医疗机构积极响应、优化服务,为健康宝弹窗人员设立了专门的核酸检测窗口。截至目前,全市共有91家医疗机构设立了95个弹窗人员核酸检测窗口。其中,东城区1个,西城区5个,朝阳区5个,海淀区4个,丰台区3个,石景山区1个,门头沟区2个,房山区2个,通州区12个,顺义区25个,昌平区6个,大兴区2个,平谷区22个,怀柔区2个,密云区1个,延庆区1个,经开区1个。【点击查看大图】






