目前发布的专项举报方式:
渝北区
渝北区教委:67803904
渝北区市场监管局:67489919
渝北区民政局:86015069
南岸区
联系人及举报电话:蔡老师:62805305龙老师:62800278
举报邮箱:najsjf@126.com
沙坪坝区
培训机构违规培训举报电话:88052770
督导工作电话:86291570
垫江县
举报电话:74512214、74683001、74667114
举报邮箱:676402825@qq.com
开州区
区教委投诉及咨询电话:62930928(办学资质、参与或组织中小学招生、聘请在职中小学教师等方面的投诉及咨询)
区市场监管局投诉电话:12315(收费、广告宣传、反垄断等方面的投诉)
万州区
区教委:58136370
区市场监管局:58560358
武隆区
023-77725218
长寿区
023-40244343
云阳县
云阳县教委举报电话:55138387
市场监管局举报电话:55166700
丰都县
举报电话:023-70722275、023-70714042
忠县
举报电话:54458301
奉节县
举报电话:023-56551059
城口县
举报电话:023-59220081
大足区
举报电话:023-64381736、023-43722138
合川区
举报电话:023-42822715
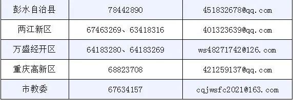
也可以通过以下方式进行举报监督:





