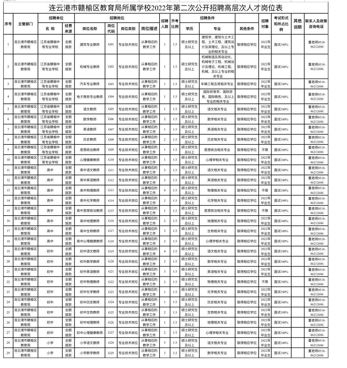
为进一步深化教育系统人事制度改革,选拔优秀人才,充实教师队伍,根据《江苏省事业单位公开招聘人员办法》(苏办发〔2020〕9号)要求,经研究,连云港市赣榆区教育局决定为所属学校面向社会公开招聘高层次人才56名。
招聘岗位


相关待遇
被聘用人员纳入连云港市赣榆区事业编制管理,享受连云港市赣榆区事业单位工资福利待遇。
报名方式:报名采用网络报名方式进行。报名、资格初审通过网络同步进行。报名网址:连云港市公开招聘网上报名平台“连云港市赣榆区”入口(http://222.189.10.7:8082,建议使用360极速浏览器极速模式进行访问)。
报名时间:2022年10月27日09:00--11月2日16:00。
》》》





