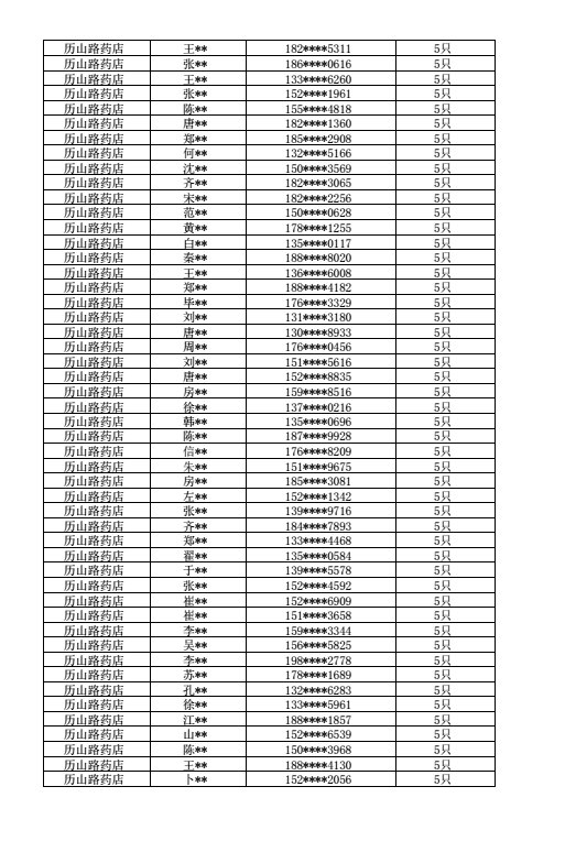
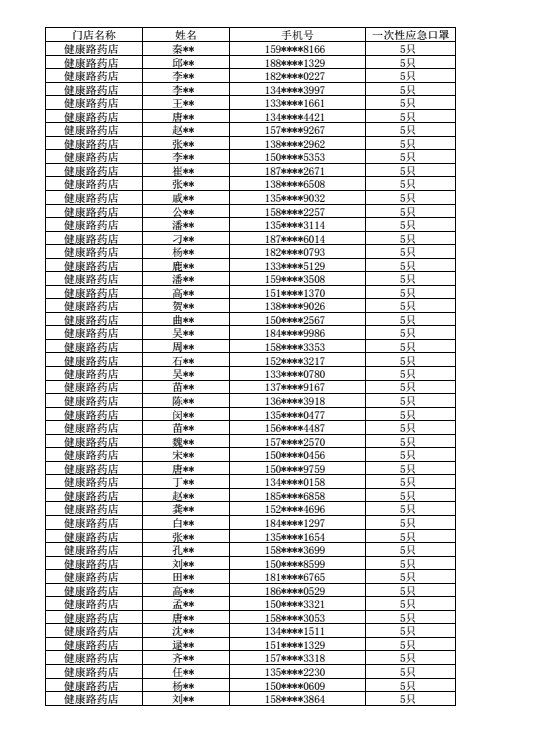
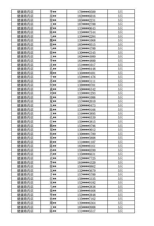
沂源县口罩预约中签名单 沂源县口罩预约中签名单公示

社会热点2022-10-14 06:06:38未知

  民凭微信、短信或电话通知,携带身份证原件(与预约登记号码一致)在通知两日内到指定的供应门店购买。如未能在规定时间前往购买的,中签自动失效。

  第九期中签人员名单公布如下:

  

  

  

  

  

  

  

  

  

  

本文标签: ,通知  ,能在  ,原件  ,门店  ,两日  

相关推荐

猜你喜欢

大家正在看