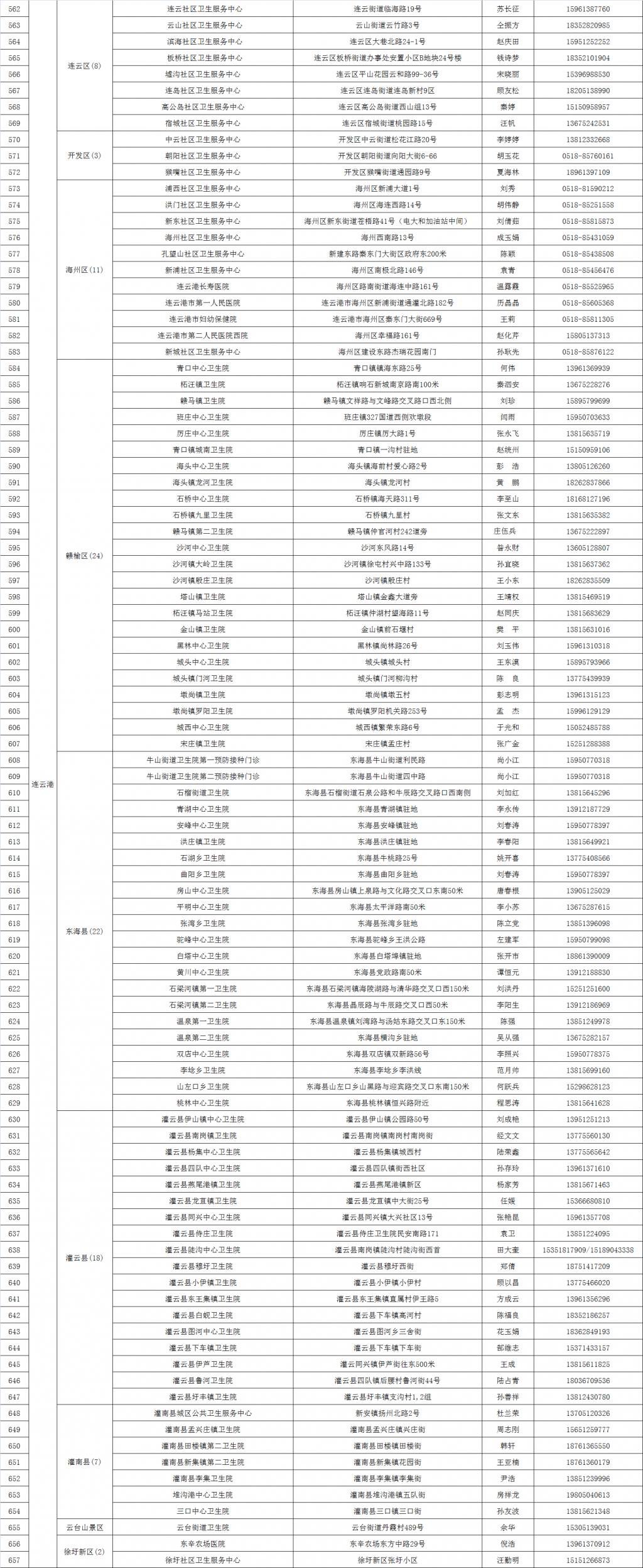
当前新冠疫情形势依然严峻,安全有效的疫苗是控制传染病非常重要的手段,我省按照国家统一部署,正在对部分重点人群开展新冠疫苗接种工作。
江苏省十三地市具体接种单位地址及联系方式:
江苏省指定承担新冠病毒疫苗紧急使用的接种单位(908 家)
社会热点2022-09-21 13:18:48未知
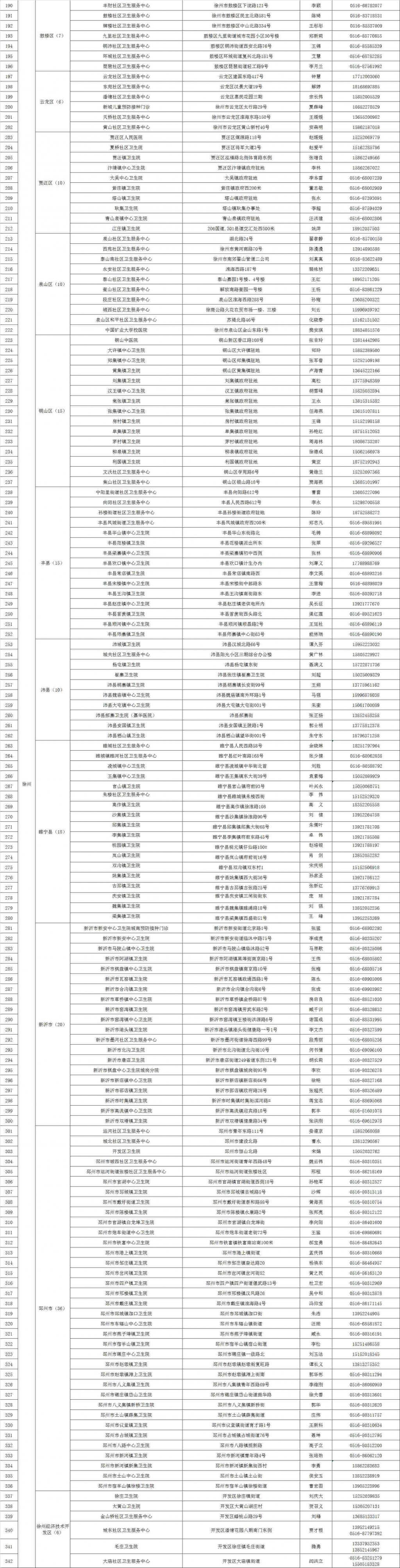
当前新冠疫情形势依然严峻,安全有效的疫苗是控制传染病非常重要的手段,我省按照国家统一部署,正在对部分重点人群开展新冠疫苗接种工作。
江苏省十三地市具体接种单位地址及联系方式:
江苏省指定承担新冠病毒疫苗紧急使用的接种单位(908 家)