南通通州2月24-25日网络招聘会(南通通州今日招聘信息)

社会热点2022-09-19 21:53:55未知

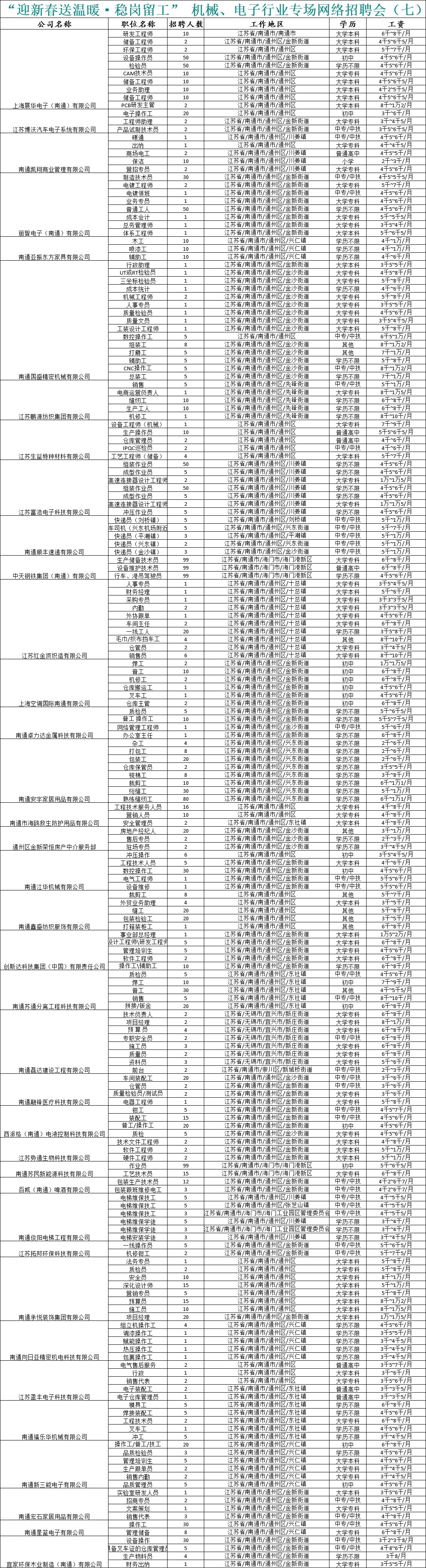
  2.24日网络招聘会岗位

  入口点击进入

  2.25日网络招聘会

  入口点击进入

本文标签: ,点击进入  ,招聘会  ,入口  ,网络  ,岗位  

相关推荐

猜你喜欢

大家正在看