回沛县上哪里报备 可以回沛县了吗图片

社会热点2022-09-18 13:31:27佚名

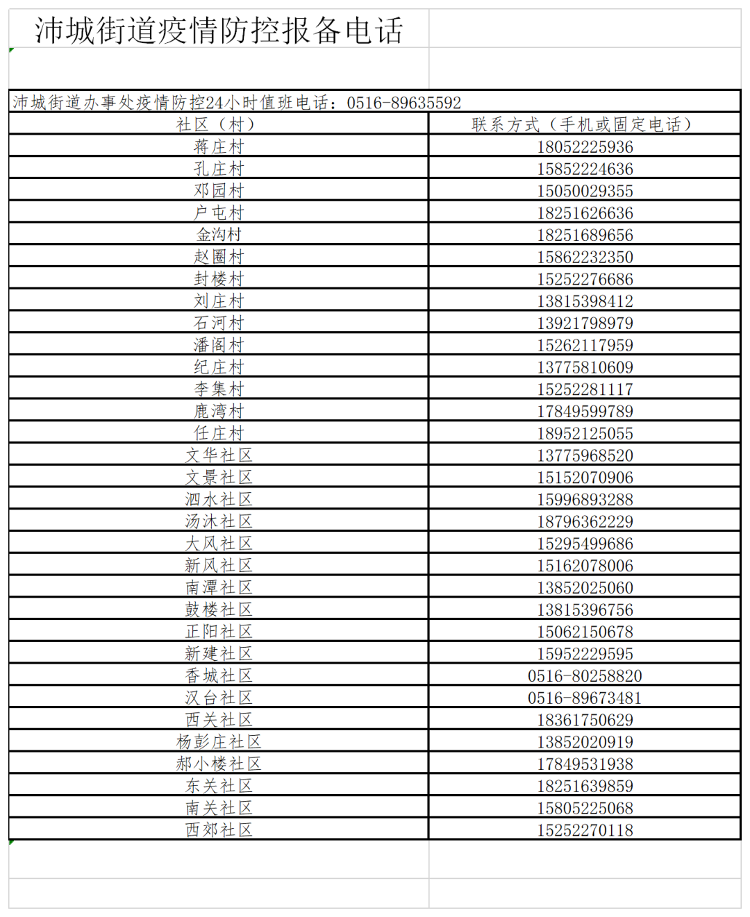
  回沛县上哪里报备

  为进一步严格外市来(返)沛人员管理,畅通来(返)沛人员报备渠道,更好落实健康管理措施,降低疫情传播风险。现将沛县各镇区社区(村)疫情防控报备电话公布如下,方便广大群众主动报备个人行程信息,咨询疫情防控相关问题。

本文标签: ,报备  ,沛县  ,疫情  ,防控  ,外市  

相关推荐

猜你喜欢

大家正在看