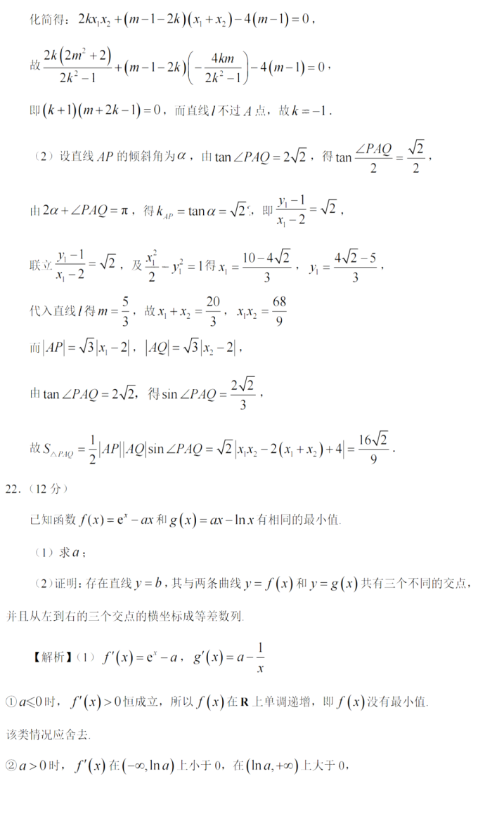
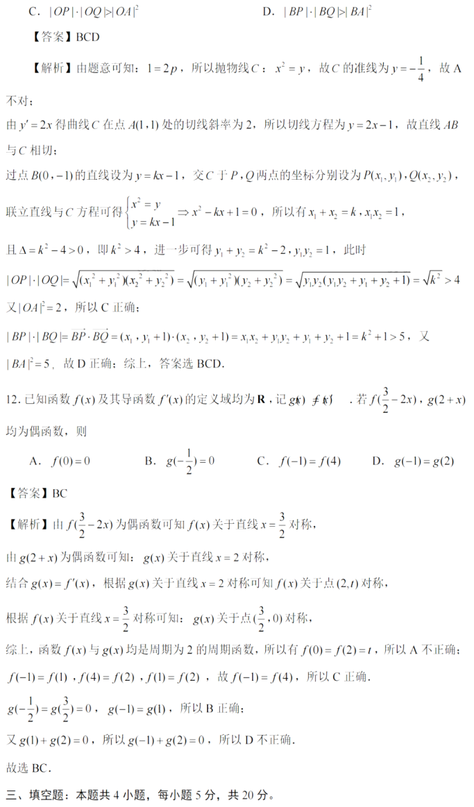
2022山东高考数学试题及答案解析(2022山东高考数学试题及答案解析视频)

教育百科2022-09-18 09:27:05未知

  新高考I卷:使用地区有山东、湖北、江苏、河北、广东、湖南、福建

  其他科目:语文英语

  

  

  

本文标签: ,湖北  ,河北  ,湖南  ,福建  ,江苏  

相关推荐

猜你喜欢

大家正在看