学考科目如何安排?
从2020年入学的高一学生开始,学考按年级定时定科统一安排,同一年级统一科目统一时间开考。各科目考试时间为:高一下学期考历史、地理、化学、生物学;高二上学期考物理、思想政治;高二下学期考语文、数学、技术;高三上学期考外语,此次外语成绩既用于评定学业水平等级又可用于高考。
根据我省普通高中实施新课程新教材的相关要求,学考科目按照必修课程教学要求统筹安排,学完即考。一是严格控制并开科目。根据《国务院办公厅关于新时代推进普通高中育人方式改革的指导意见》精神,高一年级并开学考科目不得超过9门,高一考试科目不超过4门。二是保证学科教学的均衡性和延续性。定学期定科目定时间安排考试,有利于同一学科学考教学和选考教学的衔接。三是统筹学考和选考安排。各中学应按照国家和我省有关要求,合理组织必修课程教学,不过早结束新课,不长时间停课复习。
学考各科目的卷面分值有什么变化?
除语文、数学、外语保持不变以外,其余各科满分均由原先的70分变为100分。
2019级和2020级学生是否分卷考试?
2019级学生按原学考办法执行。
考虑到考试办法、课程要求等变化,2019级和2020级学生的学考将实行分别命题、分卷考试、分别划等。
学考不合格还有机会补考吗?
普通高中在校生均须在规定时间参加相关科目的考试,每科考一次。如果某科目成绩不合格,可申请再次考试。相应科目学考合格方能报考同科目的选考。
选考科目等级赋分的分差如何由3分改为1分?
经多次专家研究、多方论证,将原赋分办法的21个等级划分为20个赋分区间,赋分分差由3分细化为1分。原先的第1(1%,100分)、第2(2%,97分)两个等级合并为1个赋分区间,其余不变。第1区间为100-97,第2区间为96-94,第3区间为93-91,以此类推,第20区间为42-40。

具体步骤为:
第一步,将卷面得分按人数比例划分为20个赋分区间,得出每个区间卷面得分的上限、下限。
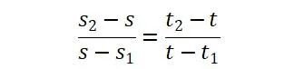
第二步,对每个区间的卷面得分进行等比例转换,公式为:
其中,s2、s1为卷面得分区间的上限和下限,s为待转换卷面得分;t2、t1为赋分区间的上限和下限,t为卷面得分等比例转换后的赋分。
第三步,将转换结果四舍五入后即为等级赋分。
举例说明:赋分区间为87-85,如对应的卷面得分区间为84-81,某考生的卷面得分为83,通过等比例转换:
可以得出t=86.3,四舍五入取整后的等级赋分为86分。
选考科目的保障基数是如何考虑的?
根据《浙江省人民政府关于进一步深化高考综合改革试点的若干意见》和《浙江省普通高校招生选考科目考试实施办法》等有关规定,我省“率先建立物理选考科目保障机制,物理选考科目保障数量确定为6.5万人,当其他科目出现类似情况,参照物理办法建立并执行保障机制,具体办法由省教育行政部门负责制定实施”。物理保障机制启用后,对稳定预期、促进选课平衡起到了良好的作用。同时,各选考科目的保障基数实施一个统一的标准,也是保持各科目赋分规则一致、确保公平的需要。按照文件精神,综合各方面因素,现明确所有选考科目保障基数为6.5万人。





