浙江省教育厅新出台《》,明确了普通高中学业水平考试实施办法和选考赋分细化举措。
2022年1月选考科目考试起,选考科目等级赋分的分差为1分。
经多次专家研究、多方论证,将原赋分办法的21个等级划分为20个赋分区间,赋分分差由3分细化为1分。原先的第1(1%,100分)、第2(2%,97分)两个等级合并为1个赋分区间,其余不变。第1区间为100-97,第2区间为96-94,第3区间为93-91,以此类推,第20区间为42-40。

具体步骤为:
第一步,将卷面得分按人数比例划分为20个赋分区间,得出每个区间卷面得分的上限、下限。
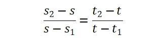
第二步,对每个区间的卷面得分进行等比例转换,公式为:
其中,s2、s1为卷面得分区间的上限和下限,s为待转换卷面得分;t2、t1为赋分区间的上限和下限,t为卷面得分等比例转换后的赋分。
第三步,将转换结果四舍五入后即为等级赋分。
举例说明:赋分区间为87-85,如对应的卷面得分区间为84-81,某考生的卷面得分为83,通过等比例转换:
可以得出t=86.3,四舍五入取整后的等级赋分为86分。





