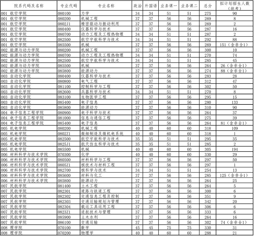
南京航空航天大学2020年硕士研究生复试分数线
根据教育部相关文件精神及《2020年全国硕士研究生招生考试考生进入复试的初试成绩基本要求》,结合我校实际情况,现将我校2020年硕士研究生招生考试考生进入复试的初试成绩基本要求和有关说明公布如下:


说明:
1.单考、少民、退役大学生士兵计划的考生进入复试的分数线要求将陆续公布。
2.我校复试预计安排在5月中下旬进行。复试时间、形式及要求等内容,将按照上级部门统一部署进行安排,并通过我校研究生院官网、各招生学院网站及时对外发布,请考生密切关注,安心备考,耐心等待后续通知。
3.符合教育部相关政策,且享受研究生招生加分政策后达到各学院专业复试分数线的考生请于5月10日前电话联系研究生招生办公室,并提前准备好相关证明材料,经审核通过后准予参加复试,联系电话:025-84892487。
研究生院招生办公室
2020年4月30日





