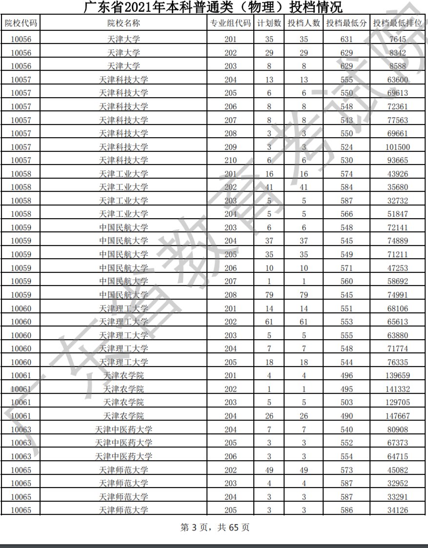
7月20日,广东省2021年普通高考本科批次正式投档录取,共投出考生290956人,其中,普通类(物理)投出189102人。广东省2021年本科普通类(物理)具体投档情况详见下表。
备注:由于文件过大,仅展示部分,需要查看全部投档情况的可以点击文件下载查看。
本科批次录取预计于7月24日结束,随后将对尚未完成招生计划的本科院校专业组进行征集志愿。
教育百科2022-07-13 14:28:05佚名
7月20日,广东省2021年普通高考本科批次正式投档录取,共投出考生290956人,其中,普通类(物理)投出189102人。广东省2021年本科普通类(物理)具体投档情况详见下表。
备注:由于文件过大,仅展示部分,需要查看全部投档情况的可以点击文件下载查看。
本科批次录取预计于7月24日结束,随后将对尚未完成招生计划的本科院校专业组进行征集志愿。