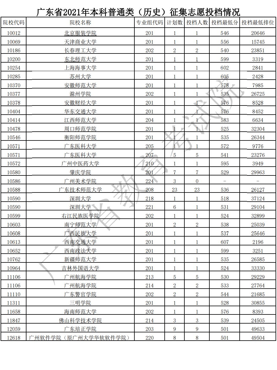
广东省2021年本科普通类(历史)征集志愿投档情况
注:点击图片可查看大图,也可点击pdf文件进行查看(广东省2021年本科普通类(历史)征集志愿投档情况.pdf)
拓展:平行志愿投档规则怎么理解?
答:平行志愿投档原则为“分数优先,遵循志愿”。一个院校专业组即为一个投档单位。分数优先,即按考生投档分从高到低排序,高者优先;遵循志愿,即轮到该生投档时,从第一个院校专业组志愿开始依次检索该批次考生所填院校专业组志愿。一旦符合投档,即向该院校专业组投档。投档后,同一批次其他院校专业组志愿均无效。如没有出现符合投档条件的院校专业组,则不能投档。上述过程完成后,无论档案是否投出,均视为该考生已完成了本批次平行志愿投档。







