2021年重庆高考二本录取信息表暂未出炉,有消息小编会第一时间更新!
2020年高考二本录取信息:文史类:
批次:本科第二批
日期:2020-09-04 16:00
(点击图片可放大)
理工类:
批次:本科第二批
日期:2020-09-04 16:00
(点击图片可放大)
批次:本科第二批
日期:2020-09-03 13:30
(点击图片可放大)
批次:本科第二批
日期:2020-09-03 13:30
(点击图片可放大)
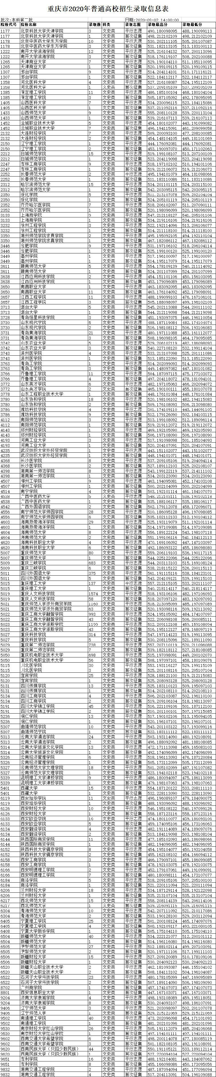
文史类
批次:本科第二批
日期:2020-09-02 14:00
(点击图片可放大)
二、理工类
批次:本科第二批
日期:2020-09-02 14:00
(点击图片可放大)





