》》》2020天津市中考一分一档表
》》》2021中考相关内容
成绩公布:7月5日公布中考成绩,考生可登录招考资讯网进行成绩查询。
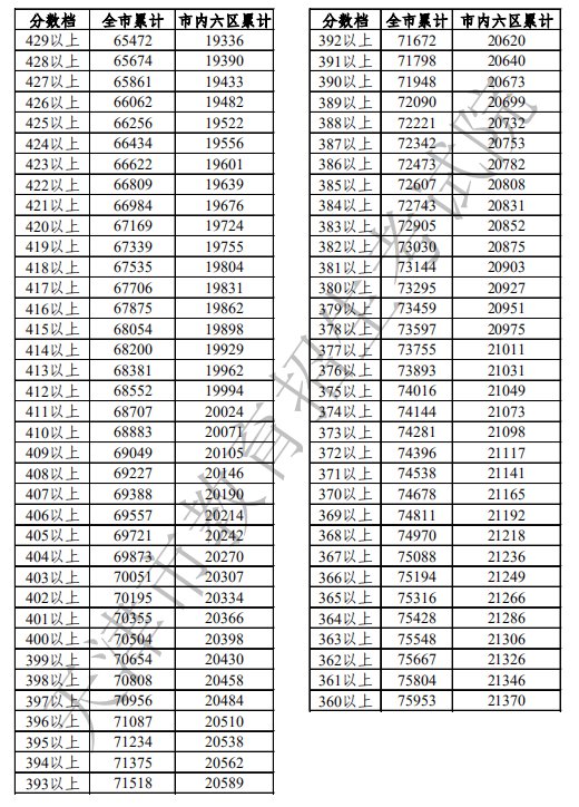
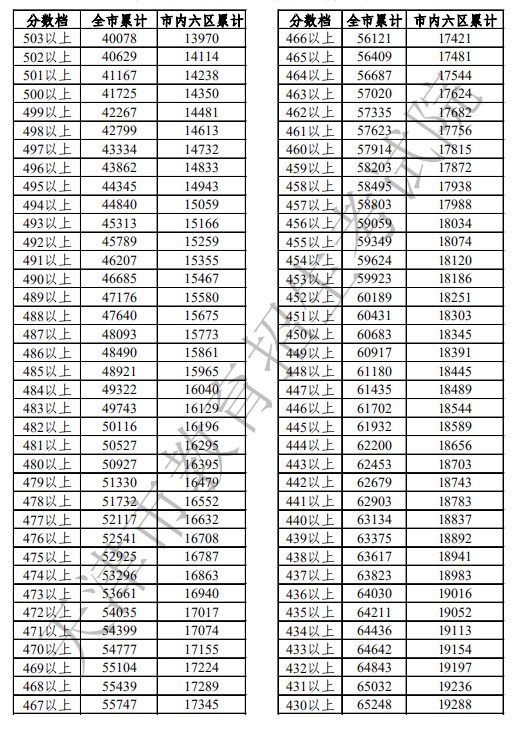
2021一分一段表:
志愿填报:7月6日-7月10日中午12时进行志愿填报。考生填报志愿须在规定时间内完成,逾期不再补报。
公布录取结果:按照往年惯例,中考录取结果预计考试后35-40天左右公布,考生可在招考资讯网查询录取结果。
下发录取通知书:录取结果公布后,部分学校会为学生邮寄或让学生到校领取录取通知书。
教育百科2022-06-25 10:55:27未知
》》》2020天津市中考一分一档表
》》》2021中考相关内容
成绩公布:7月5日公布中考成绩,考生可登录招考资讯网进行成绩查询。
2021一分一段表:
志愿填报:7月6日-7月10日中午12时进行志愿填报。考生填报志愿须在规定时间内完成,逾期不再补报。
公布录取结果:按照往年惯例,中考录取结果预计考试后35-40天左右公布,考生可在招考资讯网查询录取结果。
下发录取通知书:录取结果公布后,部分学校会为学生邮寄或让学生到校领取录取通知书。