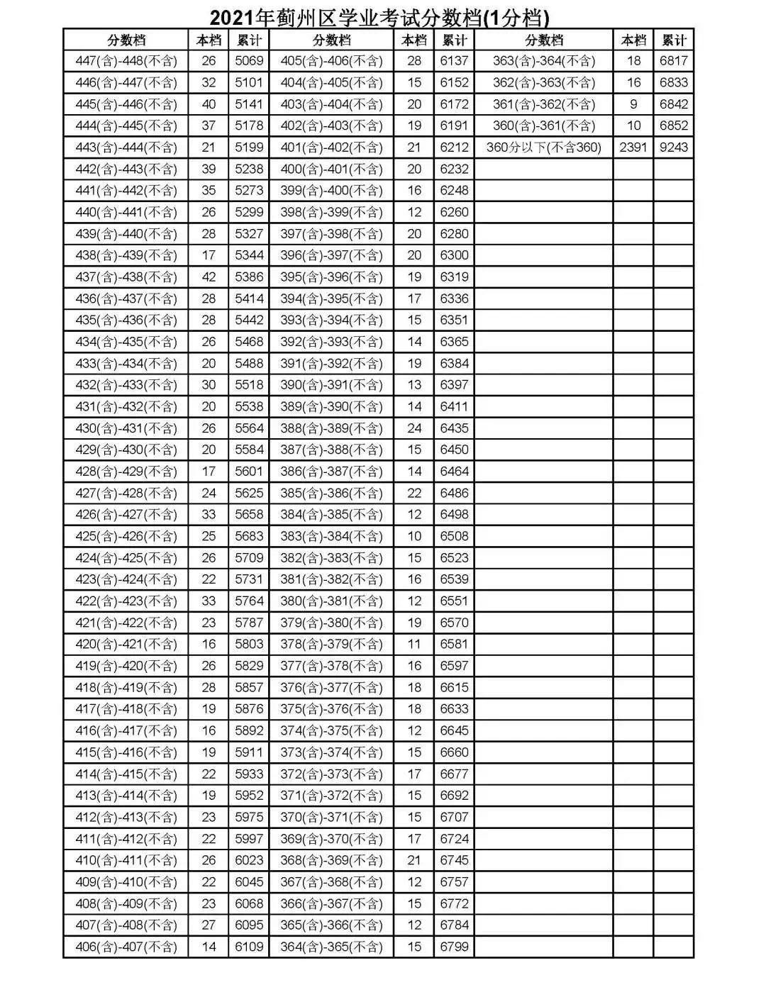
》》》2021天津蓟州中考一分一段表


》》》2021天津中考录取流程安排
▼7月6日 中考线上咨询会
▼7月6日-10日12:00 中考志愿填报
《天津市高级中等学校招生志愿表》分为“市内六区考生使用”和“市内六区以外区考生使用”两种,每种《志愿表》均设置:普通高中学校志愿、各类中职学校志愿2个志愿类别,考生须按招生章程和志愿表填写说明填写。各类高级中等学校招生各批次录取均依据志愿表批次顺序进行。
不具有本市常住和蓝印户口的考生,不得填报普通高中学校志愿,可填报各类中职学校志愿。
▼7月下旬 艺术类高中批次、9所市重点高中学校录取结果查询
▼7月底 其他普通高中学校录取结果查询





