》》》2021天津中考志愿填报规定
考生要在学校的要求下填写《天津市高级中等学校招生志愿表》。
在“市教委直属重点高中学校”批次,设1个学校志愿栏,考生可从分配到本区的南开中学、天津一中、耀华中学、天津中学的招生名额中选报1个学校志愿。
“其他高中学校”批次,设12个学校志愿栏,考生可按照本区中招办规定的办法填报普通高中志愿学校。其中,至少可以填报2个面向全市招生的民办学校志愿。
报考市重点高中的考生,在市级学业考查(地理、生物学、道德与法治、历史)4个科目中,至少有2个科目的成绩达到“良好”及以上标准,其他科目达到“合格”标准,区级学业考查科目的成绩全部达到“合格”标准。
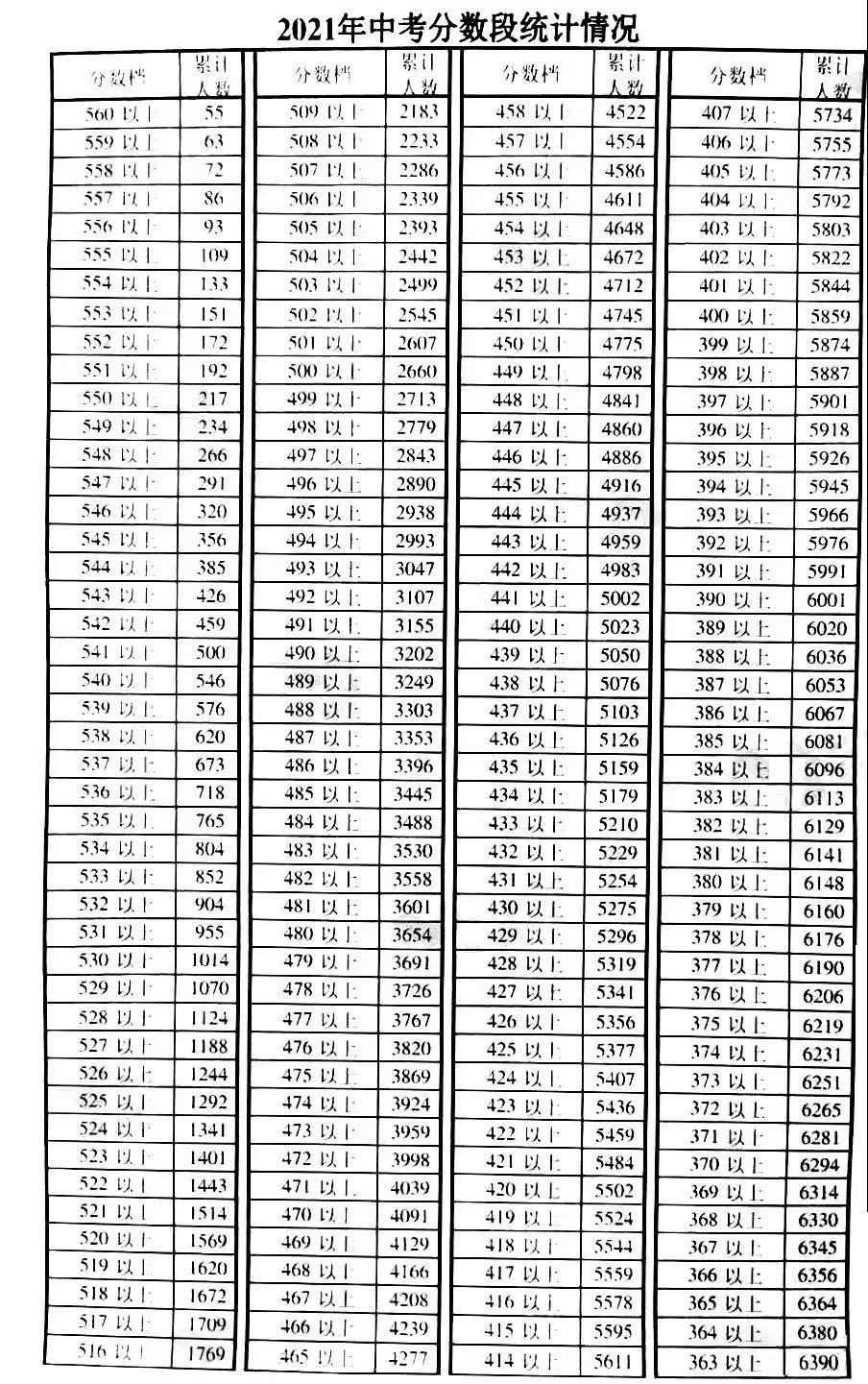
》》》2021静海区中考一分一档表





